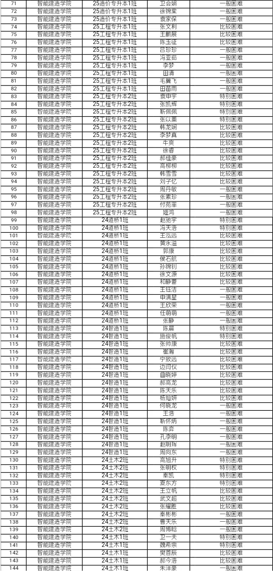
智能建造学院2025-2026学年
关于家庭经济困难学生认定工作评议小组名单的公示
为做好我院家庭经济困难学生认定工作建立健全我院学生资助管理工作机构完善工作机制进一步做好家庭经济困难学生资助工作现将我院关于学生资助工作评定领导小组名单公示如下:
组长:朱宏东 刘 帅
教师代表:贾 镔 徐晨飞 曹梦伊 李梓琳 张雅雯 李紫楠 张 哲王鹏飞 汤帅毅 张愉愉 连梦雅 张秋玉 李莹莹
学生代表:张翔宇 郑浩 王思语 张丰琳 王佳新 侯基超孔德鸿张君茹马倩倩王林飞杨文浩张昊张博郭世昊刘涵宇 马煜斌 夏浩天 王萌辉 赵炜 任飞帆 王怡皓李豪宇 常博凯 张仪帆 于润昊 王智飞 赵柳云 王嘉渝 胡志成 别佩旭 付荣耀 赵宇静 冯朝岭 马旭 李宏杰 罗帅举 王奕汪梦奇 王卓杰 刘向 窦涛庆 王闫飞 章雪颖 刘家慧 范旭阳 王继康 孙羽彤霍倩 李思雨李刘龙一 李唯佳 宋明杰 李瑞涛 骆鑫洁 王思媛 秦蔼颖刘文博 王嘉俊 何天明 王海超 张哲栋 蔡铭舒 李蒙蒙 李政远 王文博 付于静 洪舒涵 许婵玉 王子恒 王盟凯 徐勇 王帅 韩金奎 陈宇航殷治恒高学斌严浩谢东洋路军帅李嘉豪谢东张宇翔张浩然李杭王朕阳孙慧东袁世成孙康哲裴俊林吕春生 杜洪喜 刘胜利 李杰 牛晋鹏 杨帆 顾孟林 黄依敏 杨晓煜 伍维露 李宝达 王俊皓 刘岩涛 王纪喆 王长浩 赵冉 王迎悦 杨咪咪 赵婉莹 段韶涵 张瑶瑶 尹倩 徐娅菲 李昱翰 谢玉峰 闫薛衡 朱仁豪 朱仁豪 吴耀坤 张丁凯 贺浩宇 高清远 李佳怡 赵祎庆 孙岚玥吴海鹏王佳昱刘景硕黄熙宇李梓豪邢东辉常晓鹏 李霖 凡浩然 李壮壮 马慧强 叶兵辉 刘洋 王宇博 龚自阳 龙亦鲲 刘明阳程雨菲 段朝阳 常琳璇 郭丽媛 倪帅豪 王国蕾 王淑慧龚思源胡远旺秦光远李世杰刘佳隆杨柳淯郭欣欣吴雨珊刘菲洋 王沛丹 李亚楠 陈怡冉 周园园 穆郁明 李春于 未哲麒 魏文豪 董超 王馨怡 张心如徐晨齐范子豪赵向源王雪洋夏常豪杨馨高敏王舒博吕梓铭冯飞扬季鑫纬张钰梓李宇飞邬红坡尚诚浩 王鑫 章明亮 叶振哲 丁兆晨 樊兴泽 王彦粮 张佳欣 孟令涛 殷耀林 刘慧豪 闪磊 刘俊翰 张循昌 张亚博杨政王鸣成刘世超杨昊王宇晨吕星兆李连竹李硕张日宁蒋家乐陈明辉杨传杰陈妍铭董文龙赵佳宝卢灏朱敏刘肖威栗瑞杰尚琰旭林浩冉徐怡涵孙怡欣刘洋贾新丽王铭宇许亚鹏陈泉羽陈龙蔡启航郝宇恒姜福临马旗王金刚王静琳吴豪杨坤张心怡钟耀威周大力宁静刘统贺刘潇涵张硕马铭峣马晨皓罗良驰赵鑫华詹雯雯刘雨欣陈斌程艳方陈文卓董益轩刘建奎李晓慧麻文慧杨勇敢张雨生张泽壮赵印玺赵元龙刘静怡崔佳辉温跃超吴晨滔关赵锴阅李莹莹刘子奥翟淑涵张梦圆梁赟茜马子福 柴艺嘉 孙宁 田筱霖 张心丽 李昕芮 刘梦婷 刘紫怡 张婷 李佳怡 李婧妍 李红懿 曹慧情 王鹏超 苏欣怡 李状李律震 余国顺 杨振宁 姬明辉 刘坤 王博 李一帆 殷众基 王朋 刘朝阳 李咏康 姚智栋 冯淼 高天 张佳怡 李源源 陈梦鑫 游彤汪航李强张慧王勋刘琦李妍王自梁 刘佳佳 付瑞虹 姜运龙 薛佳浩 崔祺瑞 郭鑫诚 孟庆宇郭瑞 刘乐豪 田耀隆 王思迪 杨伟奇 张宁博 郑兆琦 程晓曼 王永标 袁梓涵 刘畅 刘思豪 贺雯柯 陈彭超 靳豫 巴奥鹏 刘佳仪 朱豪杰 陈健健 康家兴 梁文轩 王佳乐 李博 赵固卿 秦庆涵 刘健楠 唐启鑫 王珂 张少蕾 王豫川 付翊宸 刘天宇
校学生资助管理中心电话:0371-64561027
学院资助专员电话:13683912878
pg电子官方网站智能建造学院
2025年9月12日










